Фильтр с бесконечной импульсной характеристикой
Фильтр с бесконечной импульсной характеристикой (Рекурсивный фильтр, БИХ-фильтр) или IIR-фильтр (IIR сокр. от infinite impulse response — бесконечная импульсная характеристика) — линейный электронный фильтр, использующий один или более своих выходов в качестве входа, то есть образующий обратную связь. Основным свойством таких фильтров является то, что их импульсная переходная характеристика имеет бесконечную длину во временной области, а передаточная функция имеет дробно-рациональный вид. Такие фильтры могут быть как аналоговыми, так и цифровыми.
Примерами БИХ-фильтров являются фильтр Чебышёва, фильтр Баттерворта, Фильтр Калмана и фильтр Бесселя.
Описание
Динамические характеристики
Разностное уравнение, описывающее дискретный БИХ-фильтр, устанавливает связь между входным и выходным сигналами во временной области:
- [math]\displaystyle{ y(n) = b_{0} x(n) + b_{1} x(n-1) + \cdots + b_{P} x(n-P) - a_{1} y(n-1) - a_{2} y(n-2) - \cdots - a_{Q} y(n-Q) }[/math]
где [math]\displaystyle{ P }[/math] порядок входного сигнала, [math]\displaystyle{ b_{i} }[/math] — коэффициенты входного сигнала, [math]\displaystyle{ Q }[/math] — порядок обратной связи, [math]\displaystyle{ a_{i} }[/math] — коэффициенты обратной связи, [math]\displaystyle{ x(n) }[/math] — входной, а [math]\displaystyle{ y(n) }[/math] — выходной сигналы.
Более компактная запись разностного уравнения:
- [math]\displaystyle{ y(n) = \sum_{i=0}^P b_{i}x(n-i) - \sum_{k=1}^Q a_{k} y(n-k) }[/math]
Для того, чтобы найти ядро фильтра, положим
- [math]\displaystyle{ x(n) = \delta(n) }[/math]
где [math]\displaystyle{ \delta(n) }[/math] — дельта-функция.
Тогда импульсная переходная функция (ядро фильтра) записывается как
- [math]\displaystyle{ h(n)=\sum_{i=0}^P b_{i}\delta(n-i) - \sum_{k=1}^Q a_{k} h(n-k) }[/math]
Z-преобразование импульсной переходной функции даёт передаточную функцию БИХ-фильтра:
- [math]\displaystyle{ H(z)= \frac{\sum_{i=0}^P b_{i} z^{-i}}{1+\sum_{k=1}^Q a_{k} z^{-k}} }[/math]
Устойчивость
Об устойчивости фильтра с бесконечной импульсной характеристикой судят по его передаточной функции. Для дискретного фильтра необходимо и достаточно, чтобы все полюса его передаточной функции по модулю были меньше единицы (т.е. лежали внутри единичного круга на z-плоскости). Все критерии устойчивости, применимые в теории линейных стационарных систем, например критерий устойчивости Найквиста или критерий устойчивости Рауса применимы и в случае БИХ-фильтров.
В отличие от КИХ-фильтров, БИХ-фильтры не всегда являются устойчивыми.
Реализация БИХ фильтра
Если рассматривается передаточная функция вида:
- [math]\displaystyle{ H(z) = \frac{Y(z)}{X(z)} = \frac{\sum_ {k=0}^{M} b_{k} z ^{-k} } { 1 + \sum_ {k=1}^{N} a_{k} z ^{-k}} = \frac{B(z)}{A(z)}, }[/math]
то соотношение между входом и выходом такой системы должно удовлетворять разностному уравнению:
- [math]\displaystyle{ y(n) = -\sum_ {k=1}^N a(k)y(n - k) + \sum_ {k=0}^M b(k)x(n - k) }[/math]
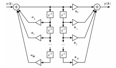
Это уравнение может быть записано непосредственно из выражения для передаточной функции, таким образом форму построения цепи, соответствующей этому уравнению, называют прямой формой 1.

При построении БИХ фильтра для простоты можно принять, что M=N. БИХ фильтры могут быть реализованы с использованием трех элементов или основных операций: умножитель, сумматор и блок задержки. Этих элементов достаточно для всех возможных цифровых фильтров. Вариант, показанный на рисунке есть прямая реализация БИХ-фильтров типа 1.
Поскольку совокупности коэффициентов b(k) и a(k) соответствуют полиномам числителя B(z) и знаменателя A(z) передаточной функции Н(z), то прямую форму БИХ-фильтра, показанную на рисунке, можно трактовать как каскадное соединение двух цепей. Первая из них реализует нули и имеет передаточную функцию B(z), а вторая — полюсы, и имеет передаточную функцию 1/A(z). Обозначив выходной сигнал первой системы w(n), разностное уравнение можно заменить системой уравнений:
- [math]\displaystyle{ y(n) = - \sum_ {k=1}^{N} a(k)y(n - k) + w(n), }[/math]
- [math]\displaystyle{ w(n) = \sum_ {k=0}^{M} b(k)x(n - k) }[/math]
которая и реализована структурой, показанной на рисунке.
В дискретных системах с постоянными параметрами соотношение между входом и выходом не зависит от порядка каскадного соединения блоков. Из этого свойства вытекает вторая прямая форма построения БИХ-фильтра. Если сначала реализовать полюсы H(z) соответствующие правой части структурной схемы верхнего рисунка, которая имеет передаточную функцию 1/A(z), а после — нули передаточной функцией B(z), то получим структуру, показанную на рисунке 2, которая соответствует системе уравнений:
- [math]\displaystyle{ w(n) = -\sum_ {k=1}^{N} a(k)w(n - k) + x(n), }[/math]
- [math]\displaystyle{ y(n) = \sum_ {k=0}^{M} b(k)w(n - k). }[/math]
Объединив линии задержки в структуре, показанной на верхнем рисунке, получим прямую каноническую форму БИХ-фильтра:
В некоторых случаях, с точки зрения шумовых характеристик, фильтр, реализованный в прямой форме, лучше, чем в канонической.
См. также
Ссылки
- The fifth module of the BORES Signal Processing DSP course — Introduction to DSP Архивная копия от 6 июля 2012 на Wayback Machine (англ.)