Диаграмма Герцшпрунга — Рассела

Диаграмма Герцшпрунга — Рассела (Рессела, сокращённо диаграмма Г—Р) — диаграмма рассеяния, используемая в астрономии, которая представляет зависимость между абсолютной звёздной величиной и спектральным классом для звёзд, либо между другими величинами, которые тесно связаны с этими параметрами. В любом случае, в верхней части диаграммы оказываются яркие звёзды, а в нижней части — тусклые; в левой части — горячие звёзды голубого цвета, в правой — холодные и красные. В качестве синонимов основному термину также используются понятия «диаграмма спектр — светимость», «диаграмма светимость — эффективная температура» и другие, хотя, более строго, различные названия относятся к определённым вариантам диаграммы.
Точки, соответствующие звёздам, на диаграмме оказываются распределены не равномерно, а сосредоточены в нескольких областях. Такое распределение отражает особенности формирования звёзд и хода их эволюции: положение звезды на диаграмме зависит от её массы, возраста и химического состава. Наиболее «населённая» часть диаграммы — главная последовательность, проходящая из верхнего левого угла диаграммы в правый нижний: она образована звёздами, в ядрах которых происходит ядерное горение водорода. Соответствующая стадия эволюции является наиболее продолжительной, поэтому на главной последовательности находится 90% всех звёзд.
Диаграмма названа в честь Эйнара Герцшпрунга и Генри Норриса Расселла, которые впервые её построили в разных вариантах в 1911 и 1913 годах.
Описание
Диаграмма Герцшпрунга — Рассела (также Рессела, либо сокращённо диаграмма Г—Р) — диаграмма рассеяния, используемая в астрономии, которая представляет зависимость между абсолютной звёздной величиной и спектральным классом для звёзд, либо между другими величинами, которые тесно связаны с этими параметрами(см. ниже)[1][2].
По горизонтали откладывается спектральный класс, либо связанная с ним величина: температура поверхности или показатель цвета, причём звёзды ранних спектральных классов, высоких температур и голубого цвета оказываются в левой части диаграммы, а поздних спектральных классов, низких температур и красного цвета — в правой части[2][3][4].
По вертикали откладывается абсолютная звёздная величина или светимость в логарифмическом масштабе, причём яркие звёзды располагаются в верхней части диаграммы, а тусклые — в нижней. Кроме того, при построении диаграммы Герцшпрунга — Рассела для множества звёзд, заведомо расположенных на одном расстоянии от наблюдателя, можно использовать видимую звёздную величину[3][4][5].
Связь между используемыми параметрами

Звёздные величины и светимости
Абсолютная звёздная величина звезды [math]\displaystyle{ M }[/math] связана с её полной светимостью [math]\displaystyle{ L }[/math]. Эту связь удобно выражать в солнечных единицах [math]\displaystyle{ L_\odot = 1 }[/math] и использовать болометрическую (измеренную с учётом излучения во всех участках спектра) абсолютную звёздную величину Солнца [math]\displaystyle{ M_\text{bol}^\odot = +4{,}7^m }[/math]. Для болометрической абсолютной звёздной величины исследуемой звезды [math]\displaystyle{ M_\text{bol} }[/math] зависимость принимает следующий вид[6]:
- [math]\displaystyle{ \lg L = -0.4(M_\text{bol} - M_\text{bol}^\odot). }[/math]
Связь полной светимости и абсолютной звёздной величины в определённой фотометрической полосе ― например, звёздной величины [math]\displaystyle{ M_V }[/math] в полосе V ― также включает в себя соответствующую болометрическую поправку [math]\displaystyle{ \text{BC}_V }[/math], которая зависит от температуры звезды. Эта величина по определению равна разности болометрической звёздной величины и звёздной величины в данной фотометрической полосе: [math]\displaystyle{ \text{BC}_V = M_\text{bol} - M_V }[/math]. Тогда связь светимости и звёздной величины выглядит следующим образом[6][7]:
- [math]\displaystyle{ \lg L = -0.4(M_V + \text{BC}_V - M_\text{bol}^\odot). }[/math]
По определению, абсолютная звёздная величина звезды равна видимой звёздной величине, которую имела бы звезда, находясь на расстоянии в 10 парсек. Тогда связь между ними выражается формулой[8]:
- [math]\displaystyle{ M = m + 5 - 5 \lg r, }[/math]
где [math]\displaystyle{ M }[/math] — абсолютная звёздная величина, [math]\displaystyle{ m }[/math] — видимая, а [math]\displaystyle{ r }[/math] — расстояние до звезды в парсеках[8].
Спектральные классы, эффективные температуры и показатели цвета
Спектр излучения звезды отчасти похож на спектр абсолютно чёрного тела, и к нему можно применить закон смещения Вина: чем выше температура абсолютно чёрного тела, тем в более коротких волнах будет максимум спектра, а излучение будет иметь более голубой показатель цвета[9].
Спектральный класс звезды определяется по наличию и интенсивности различных линий поглощения в спектре звезды, которые возникают в результате переходов электронов между определёнными уровнями энергии. Частота этих переходов и их вероятность сильно зависят от температуры, поэтому спектральный класс также оказывается связан с температурой[9].
Таким образом, температура на поверхности звезды, её спектральный класс и показатель цвета оказываются взаимосвязанными[9]. Ниже приведена таблица, показывающая связь между спектральным классом, эффективной температурой и показателем цвета B−V для звёзд главной последовательности[10].
| Спектральный класс | Эффективная температура, K | Показатель цвета B−V, m |
|---|---|---|
| O5 | 40000 | −0,35 |
| B0 | 28000 | −0,31 |
| B5 | 15500 | −0,17 |
| A0 | 10000 | 0,0 |
| A5 | 8500 | 0,16 |
| F0 | 7400 | 0,30 |
| F5 | 6600 | 0,45 |
| G0 | 6600 | 0,57 |
| G5 | 5400 | 0,70 |
| K0 | 4700 | 0,84 |
| K5 | 4000 | 1,11 |
| M0 | 3600 | 1,39 |
| M5 | 3000 | 1,61 |
| M8 | 2660 | 2,00 |
Радиусы звёзд
Положение звезды на диаграмме Герцшпрунга — Рассела также отражает её размеры, поскольку эффективная температура [math]\displaystyle{ T_\text{eff} }[/math], радиус [math]\displaystyle{ R }[/math] и светимость [math]\displaystyle{ L }[/math] связаны друг с другом законом Стефана — Больцмана[11][12]:
- [math]\displaystyle{ L = 4 \pi R^2 \sigma T_\text{eff}^4, }[/math]
где [math]\displaystyle{ \sigma }[/math] — постоянная Стефана — Больцмана[11]. Таким образом, радиус звезды выражается через температуру и светимость следующим образом[13]:
- [math]\displaystyle{ R = R_\odot \left(\frac{T_\odot}{T_\text{eff}}\right)^2 \left(\frac{L}{L_\odot}\right)^{1/2}, }[/math]
где [math]\displaystyle{ R_\odot,~T_\odot,~L_\odot }[/math] — радиус, температура и светимость Солнца соответственно. Также распространено представление логарифма радиуса через соответствующие величины и использование солнечных единиц для радиуса и светимость, то есть, [math]\displaystyle{ R_\odot = 1,~L_\odot = 1 }[/math][13]:
- [math]\displaystyle{ \lg R = \frac{1}{2} \lg L + 2 \lg \frac{T_\odot}{T_\text{eff}}. }[/math]
Вид диаграммы и связь с эволюцией звёзд

На диаграмме Герцшпрунга — Рассела звёзды распределены не равномерно, а сосредоточены в основном в нескольких областях. Такое распределение отражает особенности формирования звёзд и хода их эволюции: масса, химический состав и возраст звезды определяют её положение на диаграмме Герцшпрунга — Рассела[1][12].
Классы светимости и области на диаграмме

На диаграмме Герцшпрунга — Рассела звёзды образуют последовательности, называемые классами светимости, наиболее заметный из которых — главная последовательность (см. ниже). В каждом классе светимости есть определённая зависимость между цветом и светимостью[1][14].
Классы светимости обозначаются римскими цифрами. Ниже приведены основные классы светимости в порядке уменьшения светимости[14][15][16]:
- I — сверхгиганты. Выделяют несколько подклассов:
- 0, Ia-0 или Ia+ — ярчайшие сверхгиганты или гипергиганты.
- Ia — яркие сверхгиганты.
- Iab — нормальные сверхгиганты.
- Ib — сверхгиганты низкой светимости.
- II — яркие гиганты.
- III — гиганты.
- IV — субгиганты.
- V — звёзды главной последовательности.
- VI — субкарлики.
- VII — белые карлики.
В редких случаях выделяют класс светимости VIII, к которому принадлежат ядра планетарных туманностей, превращающиеся в белые карлики[17]. Кроме описанных классов светимости могут также выделять и другие области на диаграмме[18].
Главная последовательность и субкарлики
Абсолютное большинство звёзд — около 90%, включая Солнце, находятся на главной последовательности — диагональной полосе, которая проходит от верхнего левого угла диаграммы к правому нижнему, то есть, от ярких и горячих звёзд спектрального класса O до холодных и тусклых звёзд класса M[1][11][14][19]. Светимости звёзд на главной последовательности варьируются от 10−4 до 106 L⊙ (и, соответственно, абсолютные звёздные величины — от −6m до +16m[20]), а температуры — от 3 до 50 тысяч K[21][22]. Вне зависимости от размера, звёзды главной последовательности принято называть «карликами» — например, красные карлики и жёлтые карлики. Однако не все звёзды, называемые карликами, относятся к главной последовательности: к примеру, белые карлики или коричневые карлики не являются звёздами главной последовательности[23][24].
На главной последовательности находятся звёзды, сжигающие водород в своих ядрах — это самая длительная стадия эволюции, с чем и связана населённость этой области, кроме того, за время нахождения на главной последовательности параметры звезды меняются мало. Положение звезды на ней в основном зависит от массы звезды, и, гораздо слабее — от возраста и химического состава. Чем больше масса звезды, тем больше её температура и светимость и тем выше она находится на главной последовательности. Нижняя часть главной последовательности значительно более населена, чем верхняя часть, поскольку более массивные звёзды формируются в меньшем количестве и быстрее эволюционируют, покидая главную последовательность[1][25].
Субкарлики образуют последовательность, которая проходит вдоль главной последовательности, в спектральных классах от A до M, но ниже её приблизительно на 1,5m[14]. Как и звёзды главной последовательности, субкарлики сжигают водород в своих ядрах, но отличаются более низким содержанием тяжёлых элементов[26].
Гиганты и субгиганты
Гигантами называют звёзды крупных размеров, которые на диаграмме Герцшпрунга — Рассела находятся выше главной последовательности[27]. Наиболее заметна ветвь гигантов в спектральных классах G, K, M: в этих спектральных классах звёзды чётко разделены на карлики главной последовательности и на звёзды-гиганты[28]. Например, для звёзд-гигантов при переходе от спектрального класса G0 к классу M5 светимость в среднем возрастает от 30 до 1000 L⊙, в то время как у звёзд главной последовательности в тех же спектральных классах светимость понижается от 1,5 до 0,01 L⊙[29]. Гиганты спектральных классов K и M составляют подтип, известный как красные гиганты[30]. Субгиганты — звёзды, которые на диаграмме Герцшпрунга — Рассела занимают промежуточную область между главной последовательностью и гигантами[31].
Звёзды попадают в область субгигантов, а затем — гигантов после того, как в ядре звезды исчерпывается водород, ядро становится полностью гелиевым, а ядерное горение водорода продолжается в слоевом источнике — основной ядерной реакцией при этом является CNO-цикл[32]. Мощность энерговыделения увеличивается, а вместе с ней и светимость; внешние слои звезды расширяются, температура звезды при этом понижается, поэтому на диаграмме Герцшпрунга — Рассела она перемещается вверх и вправо, попадая в область красных гигантов[33]. Границей между стадиями субгигантов и гигантов считается распространение конвективной зоны на всю оболочку звезды: на стадии субгиганта внешние слои звезды ещё не полностью конвективны[34]. Более массивные звёзды могут становиться голубыми гигантами, когда уже сошли с главной последовательности и находятся на пути превращения в сверхгигант ― для них эта стадия эволюции аналогична стадии субгиганта для менее массивных звёзд[35].
Гиганты проходят несколько стадий эволюции, каждой из которых соответствуют определённые области на диаграмме[36]:
- Ветвь красных гигантов проходит в спектральных классах K и M с быстрым увеличением светимости к поздним классам, вплоть до абсолютной звёздной величины −3m, так что на диаграмме она располагается практически вертикально. На этой стадии в ядрах звёзд не идут никакие реакции, а ядерное горение водорода проходит в оболочке вокруг ядра[20][36].
- Горизонтальная ветвь проходит горизонтально вблизи абсолютной звёздной величины 0m, с большим разбросом спектральных классов. Звёзды горизонтальной ветви сжигают гелий в ядре. Полноценная горизонтальная ветвь наблюдается в системах, которые бедны тяжёлыми элементами; для систем с высоким содержанием металлов, в частности, в окрестностях Солнца наблюдается лишь достаточно плотно населённая красная часть горизонтальной ветви, называемая красным сгущением[20][19]. Через часть горизонтальной ветви проходит полоса нестабильности ― область, на которой звёзды подвержены пульсациям, поэтому некоторые звёзды горизонтальной ветви также являются переменными типа RR Лиры[37].
- Асимптотическая ветвь гигантов проходит от горизонтальной ветви к верхней части ветви красных гигантов. Звёзды на соответствующей стадии эволюции уже исчерпали гелий в ядре и горение гелия происходит в оболочке вокруг ядер этих звёзд[36].
Звёзды, особенно массивные, мало времени проводят в стадии субгигантов. По этой причине на диаграмме Герцшпрунга — Рассела область, где должны находиться субгиганты промежуточной и большой массы, не слишком населена, и, например, на диаграмме Герцшпрунга — Рассела для звёзд в окрестности Солнца между главной последовательностью и ветвью гигантов наблюдается промежуток, известный как пробел Герцшпрунга. В то же время, например, на диаграммах для шаровых звёздных скоплений ветвь субгигантов хорошо заметна[34][38].
Сверхгиганты
Сверхгиганты — ярчайшие из всех звёзд, светимости которых составляют от десятков тысяч до миллионов светимостей Солнца, а абсолютные звёздные величины в среднем варьируются от −4m до −8m[39][40][41]. На диаграмме Герцшпрунга — Рассела эти звёзды занимают самую верхнюю часть[14].
Массивные звёзды становятся сверхгигантами после того, как в их недрах исчерпывается водород: сгорание водорода продолжается в слоевом источнике, а в ядре начинают идти ядерные реакции с участием всё более тяжёлых элементов. Внешние слои звезды расширяются и охлаждаются, и звезда, двигаясь вправо по диаграмме, становится сверхгигантом: сначала голубым, затем красным[40][42], однако если звезда потеряет часть массы, то она может обратно стать голубым сверхгигантом[39].
Белые карлики
Белые карлики — звёзды с относительно высокими температурами, но малым радиусом, из-за чего они имеют небольшие светимости и располагаются в нижнем левом углу диаграммы. При одинаковых спектральных классах белые карлики приблизительно на 10m тусклее звёзд главной последовательности[1][43].
Звёзды массами до нескольких масс Солнца в конце своей жизни становятся белыми карликами. После того, как звезда на стадии красного гиганта исчерпывает вещество для ядерных реакций, она сбрасывает свои внешние оболочки. Из сброшенного вещества возникает планетарная туманность, в центре которой остаётся бывшее ядро звезды, имеющее очень высокую температуру — это ядро и становится белым карликом. Белые карлики тратят на излучение тепловую энергию, запасённую в их недрах, постепенно остывают и тускнеют[4][44].
Границы диаграммы
Предел Хэмпфри — Дэвидсона

Диаграмма Герцшпрунга — Рассела ограничена сверху пределом Хэмпфри — Дэвидсона (англ. Humphreys-Davidson limit), также известным как предел де Ягера (англ. de Jager limit), выше которого стабильные звёзды, не проявляющие переменность, не наблюдаются. Для красных сверхгигантов предельная светимость составляет около 3⋅105 L⊙, она возрастает с увеличением температуры и для голубых сверхгигантов составляет 1,6⋅106 L⊙[45][46]. По всей видимости, при слишком высокой светимости звезда начинает быстро терять массу, однако точный механизм, приводящий к появлению такой границы, неизвестен[47][48][49].
Линия Хаяши
Область на диаграмме, в которой могут находиться красные гиганты, ограничена справа линией Хаяши. Если звезда химически однородна и полностью охвачена конвекцией, то градиент температуры внутри неё равен адиабатическому градиенту. Тогда температура поверхности звезды связана с её массой, химическим составом и слабо зависит от светимости. При фиксированной массе и химическом составе остаётся связь между температурой и светимостью, которая на диаграмме Герцшпрунга — Рассела примет вид практически вертикальной линии — линии Хаяши. Линии Хаяши, как правило, располагаются в области диаграммы с температурами 3000—5000 K, а область справа от них называется запрещённой зоной[50][46].
При той же массе, светимости и химическом составе звезда может иметь и более высокую температуру, чем задаётся треком Хаяши: тогда средний градиент температуры в ней ниже адиабатического и в ней должны быть области, где конвекция отсутствует. Однако более низкую температуру звезда иметь не может. Если представить, что температура поверхности звезды стала ниже предела Хаяши, то средний градиент температуры в ней окажется выше, чем адиабатический градиент. Это приведёт к сильной конвекции внутри звезды, энергия будет эффективно переноситься к её поверхности, и температура будет подниматься до тех пор, пока её градиент вновь не станет адиабатическим, а звезда не вернётся к треку Хаяши[50].
Вид диаграммы для различных выборок звёзд
Диаграммы Герцшпрунга — Рассела, построенные для выборок звёзд, составленных по разным признакам, заметно различаются. Например, диаграмма для шарового звёздного скопления выглядит иначе, чем диаграмма, построенная для близких к Солнцу звёзд[4][28].
Ближайшие звёзды и ярчайшие звёзды
При анализе диаграммы Герцшпрунга — Рассела необходимо учитывать возможное влияние систематической ошибки отбора. Так, более яркие звёзды могут быть обнаружены на более далёких расстояниях, чем более тусклые, и имеют больше шансов попасть в определённую выборку звёзд. Из-за этого диаграмма, построенная для близких звёзд, существенно отличается от диаграммы для звёзд, которые выглядят яркими — в первом случае звёзды-гиганты и яркие звёзды главной последовательности на диаграмму практически не попадают, хотя они присутствуют во втором случае[28].
Звёздные скопления


Даже если расстояние до звёздного скопления неизвестно, то можно принять, что все звёзды находятся на одном расстоянии от наблюдателя, следовательно, для звёзд скопления разность между видимой и абсолютной звёздными величинами одинакова и можно построить диаграмму, используя видимые звёздные величины звёзд. Таким образом, ошибки в определении расстояния до отдельных звёзд не влияют на оценку их звёздной величины, кроме того, звёзды внутри скопления довольно однородны по характеристикам, так что на диаграмме Герцшпрунга — Рассела для скопления удаётся достаточно чётко выделить различные области[51]. Вид диаграммы Герцшпрунга — Рассела для большинства звёздных скоплений указывает на то, что звёзды внутри отдельного скопления имеют одинаковый химический состав и возраст, то есть, образовались практически одновременно. Иными словами, звёзды одного скопления на диаграмме Герцшпрунга — Рассела располагаются вблизи определённой изохроны (см. ниже). Анализ наблюдаемых диаграмм, а также сравнение их с теоретически рассчитанными изохронами даёт возможность определить возраст и металличность скопления, а также расстояние до него[52].
Построение диаграммы Герцшпрунга — Рассела для шаровых скоплений усложняется высокой концентрацией звёзд внутри этих объектов, так как звёзды вблизи друг друга легко принять за один объект. Для рассеянных скоплений эта проблема стоит менее остро, поскольку звёзды в них расположены не так плотно. Однако близость таких объектов к диску Галактики приводит к тому, что на фоне скопления часто располагаются звёзды поля, кроме того, на вид скопления влияет межзвёздное поглощение[53].
Шаровые скопления
В шаровых скоплениях главная последовательность ограничена сверху относительно невысокой светимостью и переходит в ветвь субгигантов, которая соединена с главной последовательностью точкой поворота. В то же время, в окрестности Солнца наблюдаются звёзды и в верхней части главной последовательности. Это означает, что звёзды в шаровых скоплениях старые, поскольку в верхней части главной последовательности могут находиться только молодые звёзды. Кроме того, в шаровых скоплениях ветвь субгигантов довольно узкая: эта особенность указывает на то, что все звёзды, которые изначально располагались на главной последовательности немного выше точки поворота, одновременно покидают главную последовательность[54]. Небольшое количество звёзд на главной последовательности выше точки поворота — голубых страгглеров — объясняется слияниями звёзд или обменом массами между ними[55]. Кроме того, из-за пониженного содержания металлов главная последовательность в шаровых скоплениях проходит ниже, чем, например, в рассеянных скоплениях[56].
Сама же ветвь субгигантов в верхней части переходит в ветвь красных гигантов. Кроме этого, на диаграмме Герцшпрунга — Рассела для шаровых звёздных скоплений хорошо заметна горизонтальная ветвь, часто наблюдается асимптотическая ветвь гигантов и тусклые белые карлики[57][58].
Рассеянные скопления
В рассеянных звёздных скоплениях также наблюдается главная последовательность, и в отличие от шаровых скоплений она доходит до более высоких светимостей, что связано с более молодым возрастом звёзд в рассеянных скоплениях, хотя самая яркая часть главной последовательности также отсутствует[59].
Ещё одна особенность — большой разброс положений звёзд в нижней части главной последовательности: наблюдаемый разброс не может быть объяснён ошибками наблюдений и связан с тем, что некоторые звёзды ещё не успели выйти на главную последовательность после формирования[59].
Звёзды в верхней части главной последовательности эволюционируют достаточно быстро, поэтому область, где находятся звёзды на поздних стадиях эволюции, в рассеянных скоплениях обычно заселена слабо. Последовательность звёзд может резко обрываться в точке поворота, в отличие от шаровых скоплений, где она переходит в ветвь субгигантов, и на диаграмме может наблюдаться пробел Герцшпрунга[60].
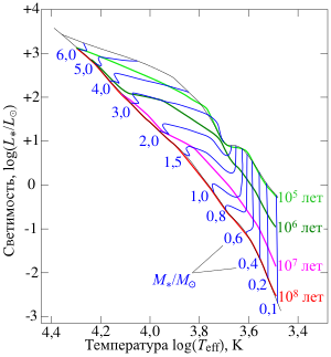
Эволюционные треки и изохроны



Эволюция звёзд приводит к изменению их внешних параметров со временем. Это изменение удобно описывать при помощи диаграммы Герцшпрунга — Рассела: путь, который звезда проходит по диаграмме в течение жизни, называется эволюционным треком[61]. В большинстве случаев эти изменения параметров звезды происходят слишком медленно, чтобы их можно было заметить[62].
Простейшая модель звёздного населения с точки зрения эволюции предполагает, что звёзды в ней сформировались в одно время из одинакового вещества, а отличаются только массой. Поскольку звёзды разной массы эволюционируют с разной скоростью, то при одинаковом возрасте они могут находиться на разных эволюционных стадиях. Данная модель, несмотря на простоту, хорошо описывает звёздные скопления (см. выше) и некоторые галактики. В рамках такой модели на диаграмме Герцшпрунга — Рассела звёзды должны выстраиваться вдоль кривой, называемой изохроной[52].
Анализ наблюдаемой диаграммы Герцшпрунга — Рассела, например, для звёздного скопления и сравнение её с теоретически рассчитанными изохронами даёт возможность определить его возраст и металличность, а также расстояние до него[63].
Переменные звёзды на диаграмме

Переменные звёзды — те, у которых обнаружены изменения видимого блеска со временем — делятся на большое количество типов, причём звёзды одних типов занимают определённые места на диаграмме Герцшпрунга — Рассела. Например, полоса нестабильности — область на диаграмме, на которой находятся переменные звёзды нескольких типов, в частности, сыгравшие важную роль в астрономии цефеиды и переменные типа RR Лиры. При определённой комбинации температуры поверхности звезды и её светимости, которая и соответствует положению на полосе нестабильности, звезда становится подвержена пульсациям и её светимость начинает колебаться[64][65].
Варианты диаграммы
В качестве синонимов к термину «диаграмма Герцшпрунга — Рассела» могут использоваться такие понятия, как «диаграмма спектр — светимость», «диаграмма светимость — эффективная температура» и некоторые другие. В то же время, диаграммой Герцшпрунга — Рассела могут называть её различные варианты с разными параметрами по осям[2][5]. Однако более строго, для различных используемых вариантов диаграммы используются свои названия[3].
- Диаграмма Герцшпрунга — Рассела — исторически первый вариант диаграммы, названный в честь учёных, которые первыми её построили независимо друг от друга (см. ниже). По осям этой диаграммы откладывалась абсолютная звёздная величина и спектральный класс, однако спектральный класс — дискретная величина, поэтому сейчас более широко используются варианты, в которых спектральный класс изменён на какой-либо непрерывный параметр[3].
- При обработке наблюдательных данных чаще всего диаграмма, по осям которой откладываются абсолютная звёздная величина (либо видимая, если звёзды заведомо расположены на одном расстоянии от наблюдателя) и показатель цвета. Этот вариант называется диаграммой цвет — звёздная величина[3].
- В теоретических расчётах удобнее всего использовать диаграмму, по осям которой откладываются эффективная температура и светимость в логарифмическом масштабе: такой вариант называется теоретической диаграммой цвет — звёздная величина[3].
Поскольку звёзды одного спектрального класса и класса светимости имеют одинаковые цвета, эффективные температуры и светимости, то эти три вида диаграммы оказываются эквивалентными друг другу. Однако для того, чтобы производить количественный перевод диаграмм одного вида в другой, необходимо с хорошей точностью знать зависимость между эффективной температурой, болометрической поправкой и спектральным классом[3].
Похожие диаграммы
- На диаграмме цвет ― цвет по осям откладываются два разных показателя цвета. Положения звёзд разных спектральных классов и классов светимости на подобных диаграммах также отличаются[66].
- Диаграмма, на которой вместо отдельных звёзд отмечается пространственная плотность звёзд в соответствующем положении на диаграмме Герцшпрунга — Рассела, в зависимости от него, называется диаграммой Гесса[англ.][67][68].
- Диаграмма цвет — звёздная величина также может использоваться для галактик по тому же принципу, что и для звёзд. Как и на диаграмме Герцшпрунга — Рассела, на аналогичной диаграмме для галактик выделяются более и менее населённые области[69].
Изучение
В 1905 году датский астроном Эйнар Герцшпрунг обнаружил, что звёзды можно разделить на два класса по радиусам: карлики и гиганты. Он же в 1911 году вместе с немецким учёным Гансом Розенбергом[англ.] впервые построил диаграмму «показатель цвета — видимая звёздная величина» для звёзд в Гиадах и в Плеядах. Американский астроном Генри Норрис Расселл в 1913 году построил диаграмму «спектральный класс — абсолютная звёздная величина» для близких к Солнцу звёзд. В честь этих двух учёных и названа диаграмма Герцшпрунга — Рассела[1]. На диаграммах обнаружилась главная последовательность, а также отдельная область, населённая красными гигантами. Позже была открыта и последовательность белых карликов[70].
Диаграмма Герцшпрунга — Рассела впоследствии стала важным инструментом в изучении эволюции звёзд[70]. Своего значения она не утратила и в XXI веке[71].
Примечания
- ↑ 1,0 1,1 1,2 1,3 1,4 1,5 1,6 Миронов А. В. Герцшпрунга – Рессела диаграмма. Большая российская энциклопедия. Дата обращения: 6 сентября 2022.
- ↑ 2,0 2,1 2,2 Сурдин, 2015, с. 146—148.
- ↑ 3,0 3,1 3,2 3,3 3,4 3,5 3,6 Binney, Merrifield, 1998, pp. 102—103.
- ↑ 4,0 4,1 4,2 4,3 Hertzsprung-Russell diagram (англ.). Encyclopedia Britannica. Дата обращения: 6 сентября 2022.
- ↑ 5,0 5,1 Кононович, Мороз, 2004, с. 376.
- ↑ 6,0 6,1 Кононович, Мороз, 2004, с. 374—375.
- ↑ Binney, Merrifield, 1998, pp. 59—60.
- ↑ 8,0 8,1 Кононович, Мороз, 2004, с. 373—374.
- ↑ 9,0 9,1 9,2 Colors, Temperatures, and Spectral Types of Stars. Pennsylvania State University. Дата обращения: 15 сентября 2022.
- ↑ 10,0 10,1 Кононович, Мороз, 2004, с. 378—379.
- ↑ 11,0 11,1 11,2 Сурдин, 2015, с. 148—149.
- ↑ 12,0 12,1 Засов, Постнов, 2011, с. 152.
- ↑ 13,0 13,1 Кононович, Мороз, 2004, с. 380.
- ↑ 14,0 14,1 14,2 14,3 14,4 Кононович, Мороз, 2004, с. 377.
- ↑ Сурдин, 2015, с. 148—150.
- ↑ Юнгельсон Л. Р. Светимости классы. Большая российская энциклопедия. Дата обращения: 16 апреля 2021. Архивировано 16 апреля 2021 года.
- ↑ Сурдин, 2015, с. 150.
- ↑ Darling D. Hertzsprung-Russell diagram. Internet Encyclopedia of Science. Дата обращения: 14 сентября 2022.
- ↑ 19,0 19,1 Binney, Merrifield, 1998, p. 103.
- ↑ 20,0 20,1 20,2 Zombeck M. V. Handbook of Space Astronomy and Astrophysics 71—73. Cambridge University Press. Дата обращения: 1 апреля 2021. Архивировано 29 декабря 2010 года.
- ↑ Сурдин, 2015, с. 151.
- ↑ Батурин В. А., Миронова И. В. Звезды: их строение, жизнь и смерть. Главная последовательность. Астронет. Дата обращения: 1 апреля 2021. Архивировано 29 июня 2020 года.
- ↑ Миронов А. В. Главная последовательность. Большая российская энциклопедия. Дата обращения: 3 апреля 2021. Архивировано 17 апреля 2021 года.
- ↑ Darling D. Dwarf star. Internet Encyclopedia of Science. Дата обращения: 3 апреля 2021. Архивировано 7 февраля 2022 года.
- ↑ Сурдин, 2015, с. 148—152.
- ↑ Юнгельсон Л. Р. Субкарлики. Большая российская энциклопедия. Дата обращения: 17 сентября 2022.
- ↑ Giant star (англ.). Encyclopedia Britannica. Дата обращения: 14 сентября 2022.
- ↑ 28,0 28,1 28,2 Karttunen et al., 2016, p. 236.
- ↑ Binney, Merrifield, 1998, p. 110.
- ↑ Юнгельсон Л. Р. Красные гиганты и сверхгиганты. Большая российская энциклопедия. Дата обращения: 14 сентября 2022.
- ↑ David Darling. Subgiant. Internet Encyclopedia of Science. Дата обращения: 9 февраля 2021. Архивировано 20 апреля 2021 года.
- ↑ Salaris, Cassisi, 2005, pp. 141—142.
- ↑ Сурдин, 2015, с. 152.
- ↑ 34,0 34,1 Binney, Merrifield, 1998, с. 265.
- ↑ Darling D. Blue giant. Internet Encyclopedia of Science. Дата обращения: 14 сентября 2022.
- ↑ 36,0 36,1 36,2 Karttunen et al., 2016, pp. 236, 269—270.
- ↑ Karttunen et al., 2016, pp. 236, 269—270, 303.
- ↑ Salaris, Cassisi, 2005, p. 142.
- ↑ 39,0 39,1 Darling D. Supergiant. Internet Encyclopedia of Science. Дата обращения: 23 марта 2021. Архивировано 7 января 2018 года.
- ↑ 40,0 40,1 Юнгельсон Л. Р. Сверхгиганты. Большая российская энциклопедия. Дата обращения: 23 марта 2021. Архивировано 9 мая 2021 года.
- ↑ Zombeck M. V. Handbook of Space Astronomy and Astrophysics (англ.) 65—73. Cambridge University Press. Дата обращения: 23 марта 2021. Архивировано 29 декабря 2010 года.
- ↑ Сурдин, 2015, с. 154—155, 159—161.
- ↑ Кононович, Мороз, 2004, с. 418.
- ↑ Блинников С. И. Белые карлики. Большая российская энциклопедия. Дата обращения: 17 сентября 2022.
- ↑ de Jager C. The stability limit of hypergiant photospheres. // Astronomy and Astrophysics. — 1984-09-01. — Т. 138. — С. 246–252. — ISSN 0004-6361.
- ↑ 46,0 46,1 Binney, Merrifield, 1998, pp. 274—275.
- ↑ Glatzel W., Kiriakidis M. Stability of Massive Stars and the Humphreys / Davidson Limit // Monthly Notices of the Royal Astronomical Society. — 1993-07-01. — Т. 263. — С. 375. — ISSN 0035-8711. — doi:10.1093/mnras/263.2.375.
- ↑ Weis K., Duschl W. J. Outflow from and asymmetries in the nebula around the LBV candidate Sk-69°279 // Astronomy and Astrophysics. — 2002-10-01. — Т. 393. — С. 503–510. — ISSN 0004-6361. — doi:10.1051/0004-6361:20021047.
- ↑ Higgins E. R., Vink J. S. Theoretical investigation of the Humphreys-Davidson limit at high and low metallicity // Astronomy and Astrophysics. — 2020-03-01. — Т. 635. — С. A175. — ISSN 0004-6361. — doi:10.1051/0004-6361/201937374.
- ↑ 50,0 50,1 Kippenhahn et al., 2013, pp. 271—278.
- ↑ Binney, Merrifield, 1998, pp. 103—104.
- ↑ 52,0 52,1 Salaris, Cassisi, 2005, p. 259.
- ↑ Binney, Merrifield, 1998, pp. 332—334, 381.
- ↑ Binney, Merrifield, 1998, pp. 335—336.
- ↑ Darling D. Blue straggler. Internet Encyclopedia of Science. Дата обращения: 12 января 2022. Архивировано 15 января 2022 года.
- ↑ Karttunen et al., 2016, p. 364.
- ↑ Binney, Merrifield, 1998, p. 334.
- ↑ Moehler S., Bono G. White Dwarfs in Globular Clusters. — 2008-06-01.
- ↑ 59,0 59,1 Binney, Merrifield, 1998, pp. 381—382.
- ↑ Binney, Merrifield, 1998, pp. 383—384.
- ↑ Salaris, Cassisi, 2005, p. 110.
- ↑ Karttunen et al., 2016, p. 299.
- ↑ Salaris, Cassisi, 2005, pp. 259—314.
- ↑ Karttunen et al., 2016, pp. 299—308.
- ↑ Variable stars. Penn State University. Дата обращения: 12 октября 2022.
- ↑ Binney, Merrifield, 1998, pp. 108—109.
- ↑ Ochsenbein F. The Hess Diagram of the Upper Part of the HR Diagram. — 1983.
- ↑ Hess diagram. An Etymological Dictionary of Astronomy and Astrophysics. Дата обращения: 9 октября 2022.
- ↑ Sciarratta M., Chiosi C., D’Onofrio M., Cariddi S. Cosmological Interpretation of the Color–Magnitude Diagrams of Galaxy Clusters // The Astrophysical Journal. — 2019-01-09. — Т. 870, вып. 2. — С. 70. — ISSN 1538-4357. — doi:10.3847/1538-4357/aaf00d.
- ↑ 70,0 70,1 Astronomy - The rise of astrophysics (англ.). Encyclopedia Britannica. Дата обращения: 13 октября 2022.
- ↑ Langer N., Kudritzki R. P. The spectroscopic Hertzsprung-Russell diagram // Astronomy and Astrophysics. — 2014-04-01. — Т. 564. — С. A52. — ISSN 0004-6361. — doi:10.1051/0004-6361/201423374.
Литература
- Сурдин В. Г. Астрономия: век XXI. — 3-е изд. — Фрязино: Век 2, 2015. — 608 с. — ISBN 978-5-85099-193-7.
- Засов А. В., Постнов К. А. Общая астрофизика. — 2-е изд. испр. и дополн. — Фрязино: Век 2, 2011. — 576 с. — ISBN 978-5-85099-188-3.
- Кононович Э. В., Мороз В. И. Общий курс астрономии. — 2-е, исправленное. — М.: УРСС, 2004. — 544 с. — ISBN 5-354-00866-2.
- Salaris M., Cassisi S. Evolution of Stars and Stellar Populations. — Chichester: John Wiley & Sons, 2005. — 388 p. — ISBN 978-0-470-09219-X.
- Binney J., Merrifield M. Galactic Astronomy. — Princeton: Princeton University Press, 1998. — 816 p. — ISBN 978-0-691-23332-1.
- Karttunen H., Kroger P., Oja H., Poutanen M., Donner K. J. Fundamental Astronomy. — 6th Edition. — Berlin; Heidelberg; N. Y.: Springer, 2016. — 550 p. — ISBN 978-3-662-53045-0.
- Kippenhahn R., Weigert A., Weiss A. Stellar structure and evolution. — 2nd ed. — Berlin: Springer, 2013. — 604 с. — ISBN 978-3-642-30304-3.