Перейти к содержанию

Кубан

Эта статья находится на начальном уровне проработки, в одной из её версий выборочно используется текст из источника, распространяемого под свободной лицензией
Материал из энциклопедии Руниверсалис
Кубан
Общие
Систематическое
наименование
пентацикло[4.2.0.02,5.03,8.04,7]октан
Хим. формула C8H8
Физические свойства
Молярная масса 104,15 г/моль
Плотность 1,29 г/см³
Термические свойства
Температура
 • плавления 131 °C
Классификация
Рег. номер CAS 277-10-1
SMILES
Приведены данные для стандартных условий (25 °C, 100 кПа), если не указано иное.

Кубан пентацикло[4.2.0.02,5.03,8.04,7]октан — химическое соединение с формулой C8H8, каркасный углеводород, атомы углерода которого расположены в пространстве в вершинах куба. Впервые получен в 1964 г. Ф. Итоном, профессором химии Университет Чикаго.[1] Является одним из «платоновых углеводородов». Имеет наивысшую среди всех углеводородов плотность.

Индивидуальное вещество представляет собой белые кристаллы, хорошо растворимые в органических растворителях.

Производные кубана (например, октанитрокубан и гептанитрокубан) представляют собой плотные и высокоэффективные взрывчатые вещества.

Получение

В качестве исходного соединения в оригинальном методе синтеза использован 2-циклопентенон.[2]:

Scheme 1. Synthesis of cubane precursor bromocyclopentadienone

Аллильное бромирование прекурсора N-бромсукцинимидом по Циглеру в тетрахлоруглероде и последующее бромирование образующегося ненасыщенного соединения приводит к образованию 2,3,4-трибромпроизводного циклопентанона. Посредством элиминирования двух эквивалентов бромоводорода из полученного соединения в диэтиловом эфире в присутствии диэтиламина получают бромциклопентадиенон.

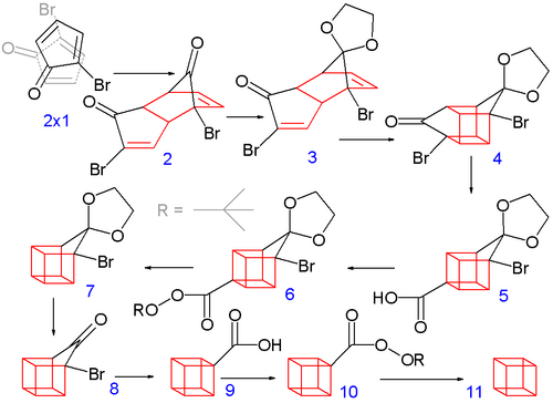
Scheme 2. Synthesis of cubane 1964

Последующая димеризация полученного соединения по реакции Дильса-Альдера протекает самопроизвольно и аналогична димеризации 1,3-циклопентадиена в бициклопентадиен. При этом стерическое отталкивание атомов брома и карбонильных групп благоприятствует формированию эндо-изомера в соответствии с правилом Альдера. Далее одну из кетогрупп стереоселективно защищают этиленгликолем в присутствии TsOH в бензоле и проводят фотохимическую внутримолекулярную реакцию [2+2]-циклоприсоединения. Галогенкетонную группировку далее переводят в карбоксилат-ион, используя для этой цели перегруппировку Фаворского, и проводят декарбоксилирование. Наконец, снятие кетальной защиты, повторная перегруппировка Фаворского и декарбоксилирование приводят к получению необходимого продукта.

Примечания

  1. Cubane Philip E. Eaton and Thomas W. Cole J. Am. Chem. Soc.; 1964; 86(15) pp 3157 — 3158; doi:10.1021/ja01069a041.
  2. The Cubane System Philip E. Eaton and Thomas W. Cole J. Am. Chem. Soc.; 1964; 86(5) pp 962—964; doi:10.1021/ja01059a072